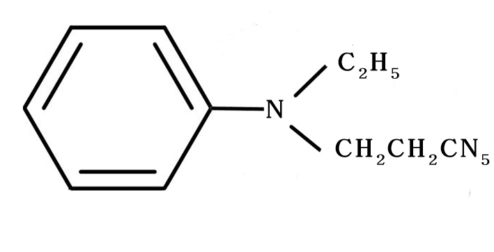
N-乙基-N-氰乙基苯胺
英文名称
N-ethyl,N-cyano ethyl aniline
CAS NO.
148-87-8
分子式
(C
2
H
5
)(CNC
2
H
4
)NC
6
H
5
技术指标
纯度含量:≥99%;沸点:290℃;相对密度(水=1):1.02
包装储运
200kg小开口钢桶、槽车
用途
制备分散染料的重要中间体